Упр.240 ГДЗ Никольский Потапов 8 класс (Алгебра)
Решение #1

Рассмотрим вариант решения задания из учебника Никольский, Потапов 8 класс, Просвещение:
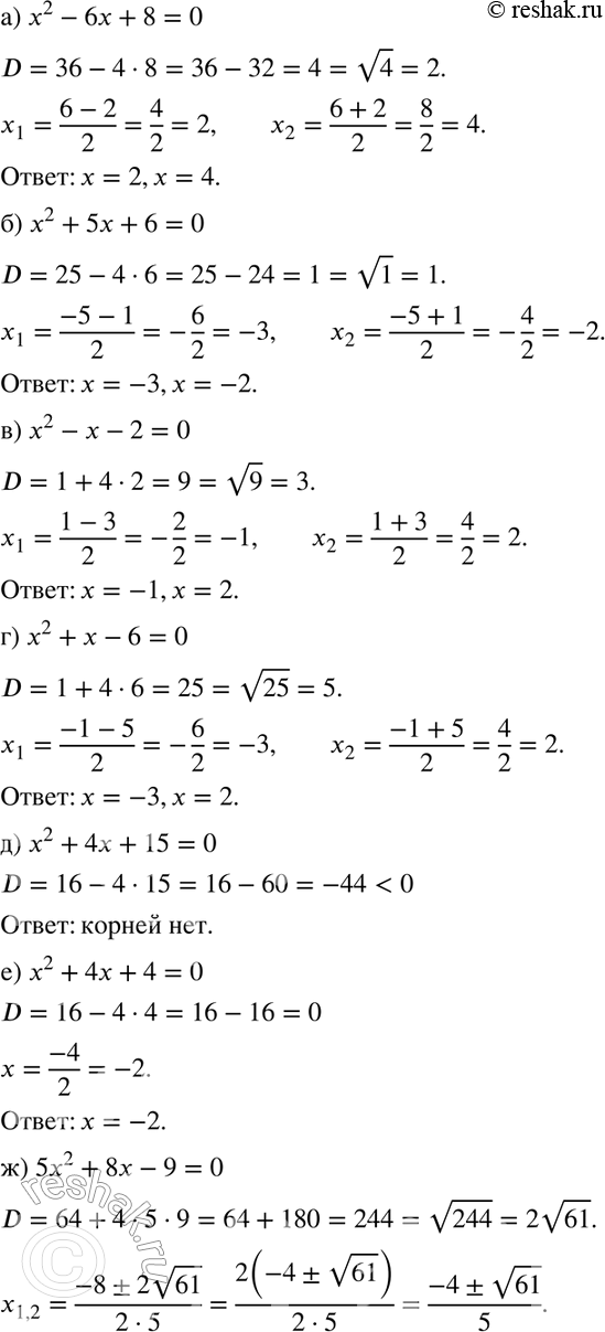
240. Решите уравнение:
а) х2 - 6х + 8 = 0;
б) х2 + 5х + 6 = 0;
в) х2 - х - 2 = 0;
г) х2 + х - 6 = 0;
д) х2 + 4х + 15 = 0;
е) х2 + 4х + 4 = 0;
ж) 5х2 + 8х - 9 = 0;
з) 4х2 - 8х + 3 = 0;
и) 3х2 - 5х - 2 = 0;
к) 5х2 - 6х + 1 = 0.
*размещая тексты в комментариях ниже, вы автоматически соглашаетесь с пользовательским соглашением