Упр.235 ГДЗ Мерзляк Полонский 7 класс (Алгебра)
Решение #1
Решение #2

Рассмотрим вариант решения задания из учебника Мерзляк, Полонская, Якир 7 класс, Вентана-Граф:
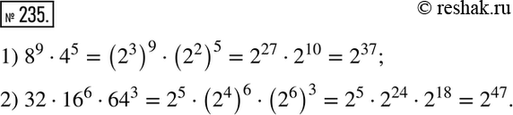
235. Представьте в виде степени с основанием 2 выражение:
1) 8^9 * 4^5;
2) 32 * 16^6 * 64^3.
*размещая тексты в комментариях ниже, вы автоматически соглашаетесь с пользовательским соглашением