Упр.233 ГДЗ Дорофеев Суворова 8 класс (Алгебра)
Решение #1

Рассмотрим вариант решения задания из учебника Дорофеев, Суворова, Бунимович 8 класс, Просвещение:
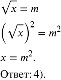
233. Известно, что vx=m. Какое равенство верно?
1) x^2=m^2
2) x=vm
3) x^2=m
4) x=m^2
*размещая тексты в комментариях ниже, вы автоматически соглашаетесь с пользовательским соглашением