Упр.232 ГДЗ Никольский Потапов 9 класс (Алгебра)

Решение #1

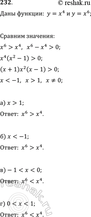
Изображение 232. Сравните значения функций у = х^4 и у = х^6 при значениях аргумента:  а) х > 1; б) х < -1;	в) -1 < х < 0;	г) 0 < х <...

Решение #2

Изображение 232. Сравните значения функций у = х^4 и у = х^6 при значениях аргумента:  а) х > 1; б) х < -1;	в) -1 < х < 0;	г) 0 < х <...

Рассмотрим вариант решения задания из учебника Никольский, Потапов 9 класс, Просвещение:
232. Сравните значения функций у = х^4 и у = х^6 при значениях аргумента: а) х > 1; б) х < -1; в) -1 < х < 0; г) 0 < х < 1.
*Цитирирование задания со ссылкой на учебник производится исключительно в учебных целях для лучшего понимания разбора решения задания.
*размещая тексты в комментариях ниже, вы автоматически соглашаетесь с пользовательским соглашением