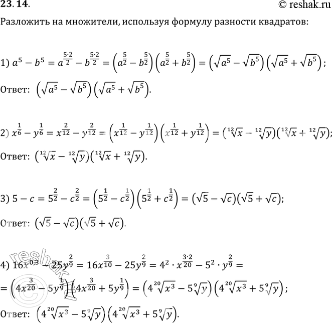
Упр.23.14 ГДЗ Мерзляк Поляков 9 класс (Алгебра)
Решение #1

Рассмотрим вариант решения задания из учебника Мерзляк, Поляков 9 класс, Вентана-Граф:
23.14. Разложите на множители, используя формулу разности квадратов (переменные принимают только неотрицательные значения):
1) a^5-b^5; 2) x^(1/6)-y^(1/6); 3) 5-c; 4) 16x^0,3-25y^(2/9).
*размещая тексты в комментариях ниже, вы автоматически соглашаетесь с пользовательским соглашением