Упр.228 ГДЗ Мерзляк Полонский 7 класс (Алгебра)
Решение #1
Решение #2

Рассмотрим вариант решения задания из учебника Мерзляк, Полонская, Якир 7 класс, Вентана-Граф:
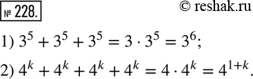
228 Представьте в виде степени выражение:
1) 3^5 + 3^5 + 3^5;
2) 4k+ 4k+ 4k+ 4k,
где k — натуральное число.
*размещая тексты в комментариях ниже, вы автоматически соглашаетесь с пользовательским соглашением