Упр.227 ГДЗ Колягин Ткачёва 7 класс (Алгебра)
Решение #1

Рассмотрим вариант решения задания из учебника Колягин, Ткачёва, Фёдорова 7 класс, Просвещение:
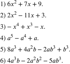
227. Составить многочлен из одночленов:
1) 6x^2, 7x и 9;
2) 2x^2, -11x и 3;
3) -x^4, x^3 и -x;
4) a^5, -a^4 и a;
5) 8a^3, 4a^2 b, -2ab^3 и b^3;
6) 4a^3 b, -2a^2 b^2, -5ab^3.
*размещая тексты в комментариях ниже, вы автоматически соглашаетесь с пользовательским соглашением