Упр.215 ГДЗ Дорофеев Суворова 7 класс (Алгебра)
Решение #1

Рассмотрим вариант решения задания из учебника Дорофеев, Суворова, Бунимович 10-11 класс, Просвещение:
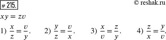
215 Дано равенство ху = zv. Составьте четыре пропорции, членами которых являются те же числа х, у, z и v.
*размещая тексты в комментариях ниже, вы автоматически соглашаетесь с пользовательским соглашением