Упр.20.3 ГДЗ Мерзляк Поляков 7 класс (Алгебра)
Решение #1

Рассмотрим вариант решения задания из учебника Мерзляк, Поляков 7 класс, Вентана-Граф:
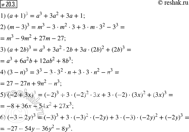
20.3. Представьте в виде многочлена выражение:
1) (a+1)^3; 2) (m-3)^3; 3) (a+2b)^3;
4) (3-n)^3; 5) (-2+3x)^3; 6) (-3-2y)^3.
*размещая тексты в комментариях ниже, вы автоматически соглашаетесь с пользовательским соглашением