Упр.2 ГДЗ Колягин Ткачёва 7 класс (Алгебра)
Решение #1

Рассмотрим вариант решения задания из учебника Колягин, Ткачёва, Фёдорова 7 класс, Просвещение:
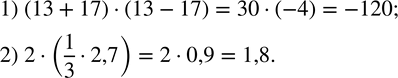
2. Записать в виде числового выражения:
1) произведение суммы и разности чисел 13 и 17;
2) удвоенное произведение чисел 1/3 и 2,7.
*размещая тексты в комментариях ниже, вы автоматически соглашаетесь с пользовательским соглашением