Упр.177 ГДЗ Ткачёва 6 класс (Математика)
Решение #1

Рассмотрим вариант решения задания из учебника Ткачёва 6 класс, Просвещение:
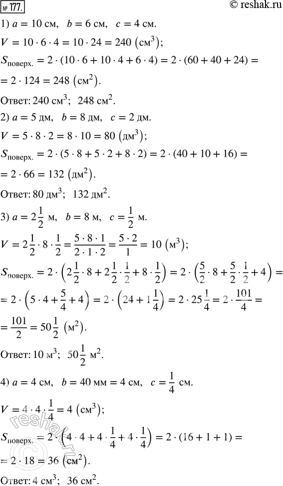
177. Найти объём и плошадь поверхности прямоугольного параллелепипеда с высотой а, длиной b и шириной с, если:
1) а = 10 см, b = 6 см, с = 4 см; 2) а = 5 дм, b = 8 дм, с = 2 дм;
3) а = 2 1/2 м, b = 8 м, с = 1/2 м; 4) a = 4 см, b = 40 мм, с = 1/4 см.
*размещая тексты в комментариях ниже, вы автоматически соглашаетесь с пользовательским соглашением