Упр.16.1 ГДЗ Мерзляк Поляков 7 класс (Алгебра)
Решение #1

Рассмотрим вариант решения задания из учебника Мерзляк, Поляков 7 класс, Вентана-Граф:
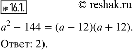
16.1. Каким из данных произведений многочленов тождественно равен многочлен a^2 -144:
1) (a-12)^2; 2) (a-12)(a+12);
3) (12-a)(12+a); 4) (12-a)(-12-a)?
*размещая тексты в комментариях ниже, вы автоматически соглашаетесь с пользовательским соглашением