Упр.151 ГДЗ Никольский Потапов 8 класс (Алгебра)
Решение #1

Рассмотрим вариант решения задания из учебника Никольский, Потапов 8 класс, Просвещение:
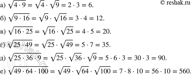
151. Вычислите:
а) корень (4 * 9);
б) корень (9 * 16);
в) корень (16 * 25);
г) корень (25 * 49;
д) корень (25 * 36 * 9);
е) корень (49 * 64 * 100).
*размещая тексты в комментариях ниже, вы автоматически соглашаетесь с пользовательским соглашением