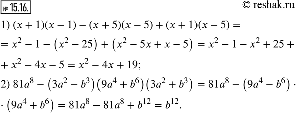
Упр.15.16 ГДЗ Мерзляк Поляков 7 класс (Алгебра)
Решение #1

Рассмотрим вариант решения задания из учебника Мерзляк, Поляков 7 класс, Вентана-Граф:
15.16. Упростите выражение:
1) (x+1)(x-1)-(x+5)(x-5)+(x+1)(x-5);
2) 81a^8-(3a^2-b^3 )(9a^4+b^6 )(3a^2+b^3 ).
*размещая тексты в комментариях ниже, вы автоматически соглашаетесь с пользовательским соглашением