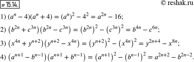
Упр.15.14 ГДЗ Мерзляк Поляков 7 класс (Алгебра)
Решение #1

Рассмотрим вариант решения задания из учебника Мерзляк, Поляков 7 класс, Вентана-Граф:
15.14. Выполните умножение двучленов (n - натуральное число):
1) (a^n-4)(a^n+4);
2) (b^2n+c^3n )(b^2n-c^3n );
3) (x^4n+y^(n+2) )(y^(n+2)-x^4n );
4) (a^(n+1)-b^(n-1) )(a^(n+1)+b^(n-1) ),n>1.
*размещая тексты в комментариях ниже, вы автоматически соглашаетесь с пользовательским соглашением