Упр.148 ГДЗ Мерзляк Полонский 7 класс (Алгебра)
Решение #1
Решение #2

Рассмотрим вариант решения задания из учебника Мерзляк, Полонская, Якир 7 класс, Вентана-Граф:
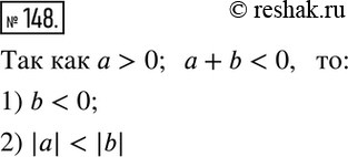
148. Известно, что а > 0, а + b < 0. Сравните:
1) b и 0; 2) |а| и |b|.
*размещая тексты в комментариях ниже, вы автоматически соглашаетесь с пользовательским соглашением