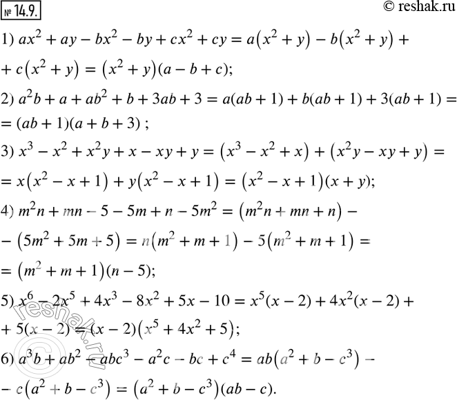
Упр.14.9 ГДЗ Мерзляк Поляков 7 класс (Алгебра)
Решение #1

Рассмотрим вариант решения задания из учебника Мерзляк, Поляков 7 класс, Вентана-Граф:
14.9. Разложите на множители многочлен:
1) ax^2+ay-bx^2-by+cx^2+cy;
2) a^2 b+a+ab^2+b+3ab+3;
3) x^3-x^2+x^2 y+x-xy+y;
4) m^2 n+mn-5-5m+n-5m^2;
5) x^6-2x^5+4x^3-8x^2+5x-10;
6) a^3 b+ab^2-abc^3-a^2 c-bc+c^4.
*размещая тексты в комментариях ниже, вы автоматически соглашаетесь с пользовательским соглашением