Упр.14.23 ГДЗ Мерзляк Поляков 7 класс (Алгебра)
Решение #1

Рассмотрим вариант решения задания из учебника Мерзляк, Поляков 7 класс, Вентана-Граф:
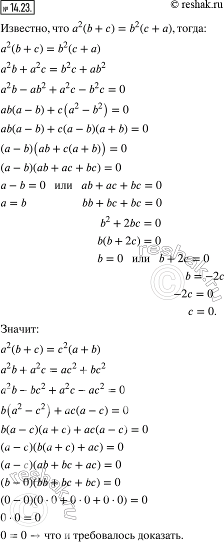
14.23. Различные числа а, b и с таковы, что а^2 (b+c) = b^2 (c+a). Докажите, что а^2 (b+c) = c^2 (a+b).
*размещая тексты в комментариях ниже, вы автоматически соглашаетесь с пользовательским соглашением