Упр.125 ГДЗ Муравин 7 класс (Алгебра)
Решение #1

Рассмотрим вариант решения задания из учебника Муравин, Муравина 7 класс, Дрофа:
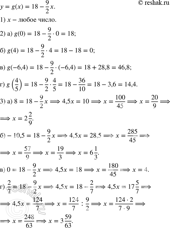
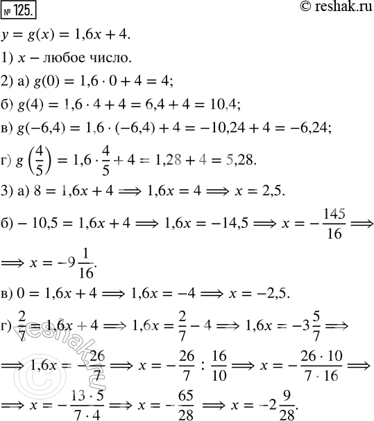
125. Дана функция у = g(x): у = 1,6x + 4; y = 18 — 9/2 х.
1) Укажите множество допустимых значений аргумента функции у = g(x).
2) Найдите: a) g(0); б) g(4); в) g(-6,4); г) g(4/5).
3) Найдите значение аргумента, при котором зпачение функции равно:
а) 8; б)-10,5; в) 0; г) 2/7.
*размещая тексты в комментариях ниже, вы автоматически соглашаетесь с пользовательским соглашением