Упр.125 ГДЗ Мерзляк Полонский 7 класс (Алгебра)
Решение #1
Решение #2

Рассмотрим вариант решения задания из учебника Мерзляк, Полонская, Якир 7 класс, Вентана-Граф:
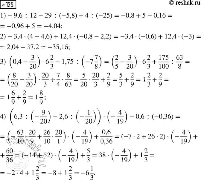
125. Вычислите значение выражения:
1) -9,6 : 12 - 29 : (-5,8) + 4 : (-25);
2) -3,4 * (4 - 4,6) + 12,4 * (-0,8 - 2,2);
3) (0,4 - 3/20)*6*2/3 - 1,75:(-7*7/8);
4) (6,3: (-9/20)-2,6:(-1/20))*(-4/19)-0,6:(-0,36).
*размещая тексты в комментариях ниже, вы автоматически соглашаетесь с пользовательским соглашением