Упр.12.14 ГДЗ Мерзляк Поляков 9 класс (Алгебра)
Решение #1

Рассмотрим вариант решения задания из учебника Мерзляк, Поляков 9 класс, Вентана-Граф:
12.14. Решите систему уравнений:
1) {(x^8 y^6=64, x^6 y^8=256);
2) {((x+y)(x-2y)^4=81, (x+y)^6 (x-2y)^3=27);
3) {(xy^3+x^3 y=-10, x^2 y^4+x^4 y^2=20);
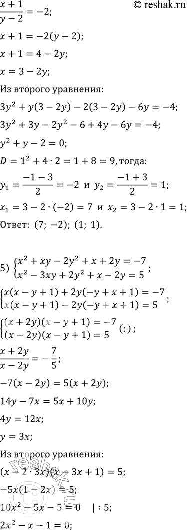
4) {(x^2+3xy+x+3y=8, 3y^2+xy-2x-6y=-4);
5) {(x^2+xy-2y^2+x+2y=-7, x^2-3xy+2y^2+x-2y=5);
6) {(2x^2+xy-4x-2y=5, x^2-3xy-2x+6y=6).
*размещая тексты в комментариях ниже, вы автоматически соглашаетесь с пользовательским соглашением