Упр.111 ГДЗ Муравин 7 класс (Алгебра)
Решение #1

Рассмотрим вариант решения задания из учебника Муравин, Муравина 7 класс, Дрофа:
111. Решите систему уравнений способом сложения:
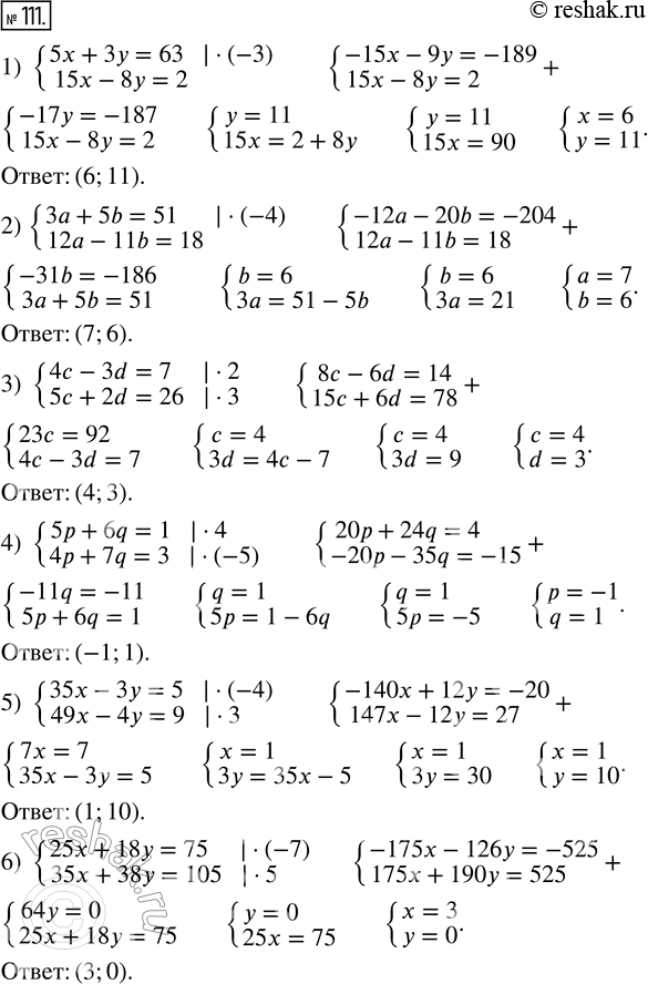
1) {5x + 3y = 63; 15x - 8у = 2};
2) {3а + 5b = 51; 12а - 11b = 18};
3) {4с - 3d = 7; 5с + 2d = 26};
4) {5р + 6q = 1; 4р + 7q = 3};
5) {35x - 3y = 5; 49x - 4y = 9};
6) {25x + 18у = 75; 35x + 38y = 105}.
*размещая тексты в комментариях ниже, вы автоматически соглашаетесь с пользовательским соглашением