Упр.10.27 ГДЗ Мерзляк Поляков 7 класс (Алгебра)
Решение #1

Рассмотрим вариант решения задания из учебника Мерзляк, Поляков 7 класс, Вентана-Граф:
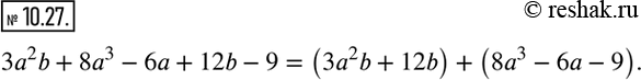
10.27. Представьте многочлен 3a^2 b+8a^3-6a+12b-9 в виде суммы двух многочленов так, чтобы один из них не содержал переменной b.
*размещая тексты в комментариях ниже, вы автоматически соглашаетесь с пользовательским соглашением