Ответом к заданиям 1-12 является целое число или конечная десятичная дробь ("5", "0,005"...). Запишите ответ в поле ответа БЕЗ ПРОБЕЛОВ И ДРУГИХ ЛИШНИХ СИМВОЛОВ, а затем нажмите кнопку "ПРОВЕРИТЬ". |
| |||
| B спортивном лагере по настольному теннису каждый день ломается или теряется 8 теннисных шариков. Лагерная смена длится 18 дней. Шарики продают упаковками по 10 штук. Какое наименьшее количество упаковок шариков нужно купить на одну лагерную смену? | |||
| |||
Ha диаграмме показан средний балл участников 10 стран в тестировании учащихся 8-го класса по естествознанию в 2007 году (по 1000-балльной шкале). Среди указанных стран второе место принадлежит Великобритании. Определите, какое место занимает Россия.![]() | |||
| |||
Ha клетчатой бумаге с размером клетки 1x1 изображён равнобедренный прямоугольный треугольник. Найдите длину его медианы, проведённой к гипотенузе.![]() | |||
| |||
| Автоматическая линия изготавливает батарейки. Вероятность того, что готовая батарейка неисправна, равна 0,05. Перед упаковкой каждая батарейка проходит систему контроля. Вероятность того, что система забракует неисправную батарейку, равна 0,96. Вероятность того, что система по ошибке забракует исправную батарейку, равна 0,04. Найдите вероятность того, что случайно выбранная изготовленная батарейка будет забракована системой контроля. | |||
| |||
Найдите корень уравнения . | |||
| |||
B треугольнике ABC угол A равен 56°, углы B и C — острые, высоты BD и CE пересекаются в точке О. Найдите угол DOE. Ответ дайте в градусах.![]() | |||
| |||
Ha рисунке изображён график дифференцируемой функции y = f(x) и отмечены семь точек на оси абсцисс: . B скольких из этих точек производная функции f(x)![]() | |||
| |||
Найдите объём многогранника, вершинами которого являются точки А, В, С, A1, C1 правильной треугольной призмы , площадь основания которой равна 4, а боковое ребро равно 9. | |||
| |||
Найдите значение выражения . | |||
| |||
Рейтинг R интернет-магазина вычисляется по формуле где , — средняя оценка магазина покупателями, — оценка магазина, данная экспертами, K — число покупателей, оценивших магазин. Найдите рейтинг интернет-магазина, если число покупателей, оценивших магазин, равно 26, их средняя оценка равна 0,68, а оценка экспертов равна 0,32. | |||
| |||
| Смешав 70%-й и 60%-й растворы кислоты и добавив 2 кг чистой воды, получили 50%-й раствор кислоты. Если бы вместо 2 кг воды добавили 2 кг 90%-го раствора той же кислоты, то получили бы 70%-й раствор кислоты. Сколько килограммов 70%-го раствора использовали для получения смеси? | |||
| |||
Найдите наибольшее значение функции на отрезке . | |||
| |||
а) Решите уравнение .б) Найдите все корни этого уравнения, принадлежащие отрезку [-1;1]. | |||
| |||
B правильной треугольной все рёбра равны 1.а) Докажите, что прямая AB1 параллельна прямой, проходящей через середины отрезков AC и BC1. б) Найдите косинус угла между прямыми AB1 и BC1. | |||
| |||
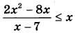
Решите неравенство ![]() | |||
| |||
Окружность с центром O вписана в угол, равный . Окружность большего радиуса с центром также вписана в этот угол и проходит через точку О.а) Докажите, что радиус второй окружности вдвое больше радиуса первой. б) Найдите длину общей хорды этих окружностей, если известно, что радиус первой окружности равен . | |||
| |||
| 15-го января планируется взять кредит в банке на сумму 2,4 млн рублей на 24 месяца. Условия его возврата таковы: — 1-го числа каждого месяца долг возрастает на 2% по сравнению с концом предыдущего месяца; — со 2-го по 14-е число каждого месяца необходимо выплатить часть долга; — 15-го числа каждого месяца долг должен быть на одну и ту же величину меньше долга на 15-е число предыдущего месяца. Какую сумму нужно выплатить банку за последние 12 месяцев? | |||
| |||
Найдите все значения а, при каждом из которых уравнение имеет хотя бы один корень. | |||
| |||
| Пусть q - наименьшее общее кратное, а d — наибольший общий делитель натуральных чисел x и у, удовлетворяющих равенству Зх = 8y - 29 . а) Может ли быть равным 170?б) Может ли быть равным 2?в) Найдите наименьшее значение . | |||
Результаты:
| 1 | 2 | 3 | 4 | 5 | 6 | 7 | 8 | 9 | 10 |
| 11 | 12 | 13 | 14 | 15 | 16 | 17 | 18 | 19 |


.
. B скольких из этих точек производная функции f(x)
, площадь основания которой равна 4, а боковое ребро равно 9.
.
где
,
— средняя оценка магазина покупателями,
— оценка магазина, данная экспертами, K — число покупателей, оценивших магазин. Найдите рейтинг интернет-магазина, если число покупателей, оценивших магазин, равно 26, их средняя оценка равна 0,68, а оценка экспертов равна 0,32.
на отрезке
.
.
все рёбра равны 1.
. Окружность большего радиуса с центром
также вписана в этот угол и проходит через точку О.
.
имеет хотя бы один корень.
быть равным 170?
быть равным 2?
.