Онлайн тест ЕГЭ по математике 2016 Вариант №9. Тест соответствует Федеральным Государственным Образовательным стандартам 2016. Для проходжения теста в вашем браузере должна быть включена функция JavaScript. Ответ вводится в специальное поле. Ответом является целое число или десятичная дробь, например: 4,25 (разделение разряда только через запятую). Единицы измерения не пишутся. После ввода предположительного ответа, нажмите кнопку "Проверить". По ходу решения Вы можете наблюдать за количеством набранных баллов. Все баллы по заданиям распределены в соответствии с КИМ.




ЗАДАНИЯ ЧАСТИ В

B1
Железнодорожный билет для взрослого стоит 560 руб. Стоимость билета для школьника составляет 50% от стоимости билета для взрослого. Группа состоит из 15 школьников и 3 взрослых. Сколько стоят билеты на всю группу (в рублях)?


Введите ответ:

Не получается?
Посмотреть ответ

Ответ:5880


B2
На диаграмме показана среднемесячная температура воздуха в Санкт-Петербурге за каждый месяц 1999 года. По горизонтали указываются месяцы, по вертика¬ли — температура в градусах Цельсия. Определите по диаграмме, в каком месяце второго полугодия средняя температура впервые стала ниже 10 °С. В ответ напишите номер месяца.
Введите ответ:

Не получается?
Посмотреть ответ

Ответ:10


B3
Найдите площадь трапеции, вершины которой имеют координаты (1; 1), (10; 1), (7; 8), (2; 8).
Введите ответ:

Не получается?
Посмотреть ответ

Ответ:49


B4
Строительной фирме нужно приобрести 74 кубометра пенобетона у одного из трёх поставщиков. Цены и условия доставки приведены в таблице. Сколько придётся заплатить за самую дешёвую покупку с доставкой (в рублях)?
Введите ответ:

Не получается?
Посмотреть ответ

Ответ:208 400


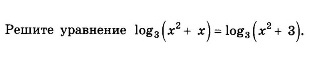
B5

Введите ответ:

Не получается?
Посмотреть ответ

Ответ:3


B6
В треугольнике ABC угол С равен 90°, cosA = 0,41. Найдите sinB.
Введите ответ:

Не получается?
Посмотреть ответ

Ответ:0,41


B7

Введите ответ:

Не получается?
Посмотреть ответ

Ответ:-6,56


B8
На рисунке изображены график функции y = f(x) и касательная к этому графику, проведённая в точке х0. Уравнение касательной показано на рисунке. Найдите значение производной функции у = 4f(x)-3 в точке x0.
Введите ответ:

Не получается?
Посмотреть ответ

Ответ:-3


B9
В правильной треугольной пирамиде SABC медиа¬ны основания ABC пересекаются в точке О. Пло¬щадь треугольника ABC равна 2; объём пирамиды равен 4. Найдите длину отрезка OS.
Введите ответ:

Не получается?
Посмотреть ответ

Ответ:6


B10
На экзамене 40 билетов, Коля не выучил 4 из них. Найдите вероятность того, что ему попадётся выученный билет.
Введите ответ:

Не получается?
Посмотреть ответ

Ответ:0,9


B11
В цилиндрический сосуд налили 2000 см3 воды. Уровень воды при этом достиг высоты 8 см. В жидкость полно¬стью погрузили деталь. При этом уровень жидкости в со¬суде поднялся на 6 см. Чему равен объём детали? Ответ выразите в кубических сантиметрах.
Введите ответ:

Не получается?
Посмотреть ответ

Ответ:1500


B12
Высота над землёй подброшенного вверх мяча меняется по закону h(t) =2+13t-5t^2, где h — высота в метрах, t — время в секундах, прошедшее с момента броска. Сколько секунд мяч будет находиться на высоте не менее 10 м?
Введите ответ:

Не получается?
Посмотреть ответ

Ответ:0,6


B13
Теплоход проходит по течению реки до пункта назначения 375 км и после стоянки возвращается в пункт отправления. Найдите скорость течения, если скорость те¬плохода в неподвижной воде равна 20 км/ч, стоянка длится 10 ч, а в пункт от¬правления теплоход возвращается через 50 ч после отплытия из него. Ответ дайте в километрах в час.
Введите ответ:

Не получается?
Посмотреть ответ

Ответ:5


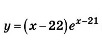
B14
Найдите наименьшее значение функции на отрезке [20; 22].
Введите ответ:

Не получается?
Посмотреть ответ

Ответ:-1