Онлайн тест ЕГЭ по математике 2016 Вариант №20. Тест соответствует Федеральным Государственным Образовательным стандартам 2016. Для проходжения теста в вашем браузере должна быть включена функция JavaScript. Ответ вводится в специальное поле. Ответом является целое число или десятичная дробь, например: 4,25 (разделение разряда только через запятую). Единицы измерения не пишутся. После ввода предположительного ответа, нажмите кнопку "Проверить". По ходу решения Вы можете наблюдать за количеством набранных баллов. Все баллы по заданиям распределены в соответствии с КИМ.




ЗАДАНИЯ ЧАСТИ В

B1
Больному прописано лекарство, которое нужно пить по 0,5 г 3 раза в день в тече¬ние 8 дней. В одной упаковке 8 таблеток лекарства по 0,25 г. Какого наименьше¬го количества упаковок хватит на весь курс лечения?


Введите ответ:

Не получается?
Посмотреть ответ

Ответ:6


B2
На диаграмме показан средний балл участников 10 стран в тестировании учащих¬ся 8-го класса по математике в 2007 году (по 1000-балльной шкале). Среди ука¬занных стран десятое место принадлежит Индонезии. Определите, какое место занимает Болгария.
Введите ответ:

Не получается?
Посмотреть ответ

Ответ:7


B3
Площадь треугольника ABC равна 24. DE — средняя линия. Найдите площадь трапеции ABDE.
Введите ответ:

Не получается?
Посмотреть ответ

Ответ:18


B4
От дома до дачи можно доехать на автобусе, электричке или маршрутном такси. В таблице показано время, которое нужно затратить на каждый участок пути. Ка¬кое наименьшее время потребуется на дорогу? Ответ дайте в часах.
Введите ответ:

Не получается?
Посмотреть ответ

Ответ:2,25


B5
Найдите корень уравнения.
Введите ответ:

Не получается?
Посмотреть ответ

Ответ:-26


B6
В треугольнике ABC АС=ВС, АВ = 30, cosA = 5/13. Найдите высоту СH.
Введите ответ:

Не получается?
Посмотреть ответ

Ответ:36


B7
Найдите значение выражения.
Введите ответ:

Не получается?
Посмотреть ответ

Ответ:-4


B8
На рисунке изображены график функции у = f(x) и касательная к нему в точке с абсциссой х0. Найдите значение произ¬водной функции f(x) в точке x0.
Введите ответ:

Не получается?
Посмотреть ответ

Ответ:-1,75


B9

Введите ответ:

Не получается?
Посмотреть ответ

Ответ:5


B10
Две фабрики выпускают одинаковые стёкла для автомобильных фар. Первая фа¬брика выпускает 30% этих стёкол, вторая — 70%. Первая фабрика выпускает 3% бракованных стёкол, а вторая — 4%. Найдите вероятность того, что случайно ку¬пленное в магазине стекло окажется бракованным.
Введите ответ:

Не получается?
Посмотреть ответ

Ответ:0,043


B11
Объём конуса равен 86. Через середину высоты параллельно основанию конуса проведено сечение, которое является основанием меньшего конуса с той же вершиной. Найдите объём меньшего конуса.
Введите ответ:

Не получается?
Посмотреть ответ

Ответ:10,75


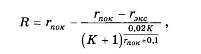
B12
Компания «Яндекс-Маркет» вычисляет рейтинг интернет-магазинов по формуле где гпок — средняя оценка магазина покупателями (от 0 до 1), гэкс — оценка ма¬газина экспертами компании (от 0 до 0,7) и К — число покупателей, оценивших магазин. Найдите рейтинг интернет-магазина «Альфа», если число покупателей, оставив¬ших отзыв о магазине, равно 7, их средняя оценка равна 0,32, а оценка экспертов равна 0,5.
Введите ответ:

Не получается?
Посмотреть ответ

Ответ:0,41


B13
Моторная лодка прошла против течения реки 55 км и вернулась в пункт отправ¬ления, затратив на обратный путь на 6 ч меньше. Найдите скорость лодки в непо¬движной воде, если скорость течения равна 3 км/ч. Ответ дайте в километрах в час.
Введите ответ:

Не получается?
Посмотреть ответ

Ответ:8


B14

Введите ответ:

Не получается?
Посмотреть ответ

Ответ:5